中科院分子影像重点实验室田捷研究员团队与广东省人民医院、中国医学科学院肿瘤医院、云南省肿瘤医院、河南省肿瘤医院合作开展了基于影像组学预测乳腺癌新辅助化疗效果的多中心研究,实现了乳腺癌新辅助化疗后病理学完全缓解(pCR)的精准预测。该研究工作发表于临床肿瘤权威期刊Clinical Cancer Research(2019, DOI: 10.1158/1078-0432.CCR-18-3190,SCI IF: 10.199,中科院JCR医学1区Top)。这也是田捷研究员团队继配合北京肿瘤医院在该期刊发表直肠癌新辅助治疗pCR预测的工作(Clin Cancer Res; 2017, 23(23): 7253-62)之后,在基于影像组学的肿瘤新辅助治疗效果预测工作上取得的又一重要进展。
乳腺癌是女性发病率最高的恶性肿瘤。新辅助化疗是针对大部分乳腺癌患者尤其是局部晚期患者的标准治疗方式,能够达到降低肿瘤分期、减少肿瘤转移和提高保乳治疗可能性等效果。病理学完全缓解pCR是新辅助治疗后临床最期待的结果,意味着患者会有非常好的预后情况。因此,在新辅助治疗前预测患者是否能达到pCR对于指导更佳的治疗方案具有重大意义。由于新辅助化疗的结果在不同的组织病理亚型和分子亚型间差异明显,目前在治疗前定量地预测pCR仍充满挑战。
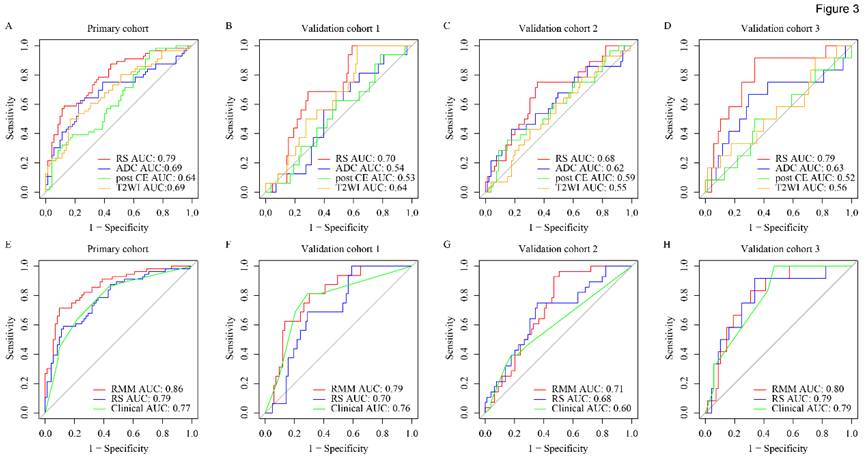
针对这一挑战性的临床问题,中科院分子影像重点实验室通过多项技术创新,将影像组学应用于乳腺增新辅助化疗后病理完全缓解的预测研究中。该研究基于乳腺癌原发灶的定量多参数MRI影像组学特征,并结合肿瘤分期、分子亚型和Ki67等临床指标,有效提升pCR预测效果。研究团队与广东省人民医院、中国医学科学院肿瘤医院、云南省肿瘤医院、河南省肿瘤医院等4家医院合作收集了586例行新辅助化疗的乳腺癌患者的多参数MRI(包含DWI、DCE和T2序列)与相关临床病理资料。提取海量影像组学特征并结合临床指标,在广东省人民医院数据集上建立了预测模型,并分别在其他三家医院的数据集进行模型验证。结果显示,该影像-临床指标组合模型预测效果优于单纯的临床指标构建的模型,且在三个验证集都表现较好。此外本研究建立的多参数影像组学标签在不同的分子亚型间(尤其在三阴性乳腺癌亚组中)仍具有很好的预测效果。

图1. 训练集和验证集中不同模型间的性能比较。A-D:单序列和多序列模型的ROC曲线;E-H:多序列影像组学标签(RS)、临床指标模型(Clinical)以及影像-临床指标组合模型(RMM)的ROC曲线。
本文由中国科学院分子影像重点实验室的刘振宇作为第一作者,李卓琳(云南省肿瘤医院)、曲金荣(河南省肿瘤医院)、张仁知(中国医学科学院肿瘤医院)为并列第一作者,田捷研究员与广东省人民医院王坤主任、刘再毅主任为并列通讯作者。该研究得到了国家自然科学基金、科技部国家重点研发计划、北京市自然科学基金等项目的资助。
论文下载链接:
乳腺癌新辅助化疗pCR预测:
http://clincancerres.aacrjournals.org/cgi/content/abstract/1078-0432.CCR-18-3190
直肠癌新辅助治疗pCR预测:
http://clincancerres.aacrjournals.org/content/23/23/7253
